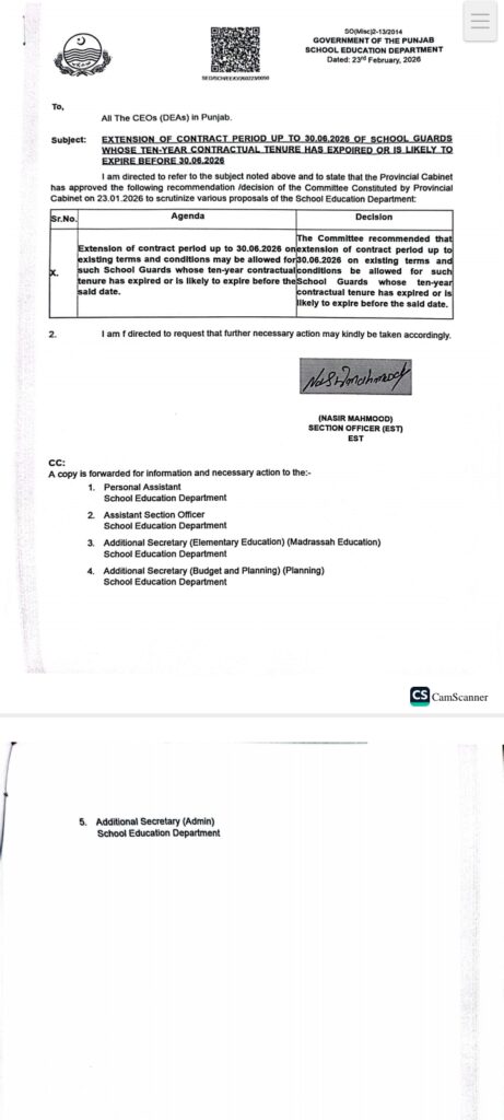
Extension of Contract of school Guards till 30.6.26.By Majid Farooq / February 23, 2026 Extension of Contract of school Guards till 30.6.26.
SSC (Arts Group) may be allowed to registration for HSSC (Pre-Medical and Pre-Engineering Group) Leave a Comment / Educational Notifications / By Majid Farooq